Successfully reported this slideshow.
We use your LinkedIn profile and activity data to personalize ads and to show you more relevant ads. You can change your ad preferences anytime.
Upcoming SlideShare
What to Upload to SlideShare
What to Upload to SlideShare
Loading in …3
×
1 of 21

More Related Content

You Might Also Like

Related Books

Free with a 30 day trial from Scribd

See all

Related Audiobooks

Free with a 30 day trial from Scribd

See all

Реєстр лікарських засобів, вартість яких підлягає відшкодуванню

  1. 1. ЗАТВЕРДЖЕНО Наказ Міністерства охорони здоров’я України від 22.01.2018 р. № 111 (у редакції наказу Міністерства охорони здоров’я України від 05 лютого 2018 року № 177) Реєстр лікарських засобів, вартість яких підлягає відшкодуванню станом на 22 січня 2018 року № з/п Міжнарод- на непатенто- вана назва лікарсько- го засобу Торгова назва лікарського засобу Форма випуску Сила дії (дозу- вання) Кількість одиниць лікарсько- го засобу у споживчій упаковці Код АТХ Найменування виробника, країна Номер реєстрацій ного посвідченн я на лікарський засіб Дата закінчення строку дії реєстраційно -го посвідчення на лікарський засіб Оптово- відпускна ціна за упаковку, грн Роздрібна ціна за упаковку, грн Добова доза лікар- ського засобу, рекомен- дована ВООЗ Розмір відшкоду- вання добової дози лікарського засобу, грн Розмір відшкоду- вання за упаковку лікарсько- го засобу, грн Сума доплати за упаковку, грн 1 2 3 4 5 6 7 8 9 10 11 12 13 14 15 16 1 Аміодарон АМІДАРОН таблетки 200 30 С01BD01 ПАТ "Київський вітамінний завод", Україна UA/4514/01/01 09.02.2021 39,10 52,92 200 1,4438 43,31 9,61 2 Аміодарон АМІОДАРОН таблетки 200 30 С01BD01 Приватне акціонерне товариство "Лекхім- Харків", Україна UA/8904/01/01 24.05.2018 32,00 43,31 200 1,4438 43,31 0,00 3 Аміодарон МІОРИТМІЛ® -ДАРНИЦЯ таблетки 200 30 C01BD01 ПрАТ "Фармацевтична фірма "Дарниця", Україна UA/6506/01/01 необмежений 39,40 53,33 200 1,4438 43,31 10,02 4 Аміодарон АРИТМІЛ таблетки 200 20 С01BD01 Публічне акціонерне товариство "Науково- виробничий центр "Борщагівський хіміко- фармацевтичний завод", Україна UA/1438/02/01 06.11.2019 22,41 30,33 200 1,4438 28,88 1,45 5 Аміодарон РОТАРИТМІЛ таблетки 200 30 С01BD01 Ривофарм СА, Швейцарія UA/12887/01/01 15.04.2018 70,60 95,56 200 1,4438 43,31 52,25 6 Аміодарон АМІОКОРДИН® таблетки 200 30 С01BD01 КРКА, д.д., Ново место, Словенія UA/10291/01/01 20.11.2019 67,74 91,69 200 1,4438 43,31 48,38
  2. 2. Продовження додатка2 7 Аміодарон АМІОКОРДИН® таблетки 200 60 С01BD01 КРКА, д.д., Ново место, Словенія UA/10291/01/01 20.11.2019 135,47 183,37 200 1,4438 86,63 96,74 8 Аміодарон КАРДІОДАРОН- ЗДОРОВ'Я таблетки 200 30 C01BD01 ТОВ «Фармацевтична компанія «Здоров'я”, Україна; ТОВ "ФАРМЕКС ГРУП", Україна UA/1713/02/01 необмежений 37,65 50,96 200 1,4438 43,31 7,65 9 Амлодипін АМЛОДИПІН -ФІТОФАРМ таблетки 5 20 С08С А01 ПРАТ "Фітофарм", Україна UA/2802/01/01 20.03.2020 4,40 5,96 5 0,2707 5,41 0,55 10 Амлодипін АМЛОДИПІН -ФІТОФАРМ таблетки 5 30 С08С А01 ПРАТ "Фітофарм", Україна UA/2802/01/01 20.03.2020 6,60 8,93 5 0,2707 8,12 0,81 11 Амлодипін СТАМЛО таблетки 5 30 С08С А01 Д-р Редді'с Лабораторіс Лтд, Виробнича дільниця - ІІ, Індія UA/1421/01/01 03.07.2019 27 36,55 5 0,2707 8,12 28,43 12 Амлодипін АМЛОЦИМ 5 мг таблетки 5 30 С08С А01 Юнікем Лабораторіз Лімітед , Індія; Асіно Фарма АГ , Швейцарія UA/14494/01/02 04.11.2020 26,41 35,75 5 0,2707 8,12 27,63 13 Амлодипін АМЛОЦИМ 10 мг таблетки 10 30 С08С А01 Юнікем Лабораторіз Лімітед , Індія; Асіно Фарма АГ , Швейцарія UA/14494/01/01 04.11.2020 42,25 57,19 5 0,2707 16,24 40,95 14 Амлодипін Амлодипін-КВ таблетки 10 30 С08С А01 ПАТ "Київський вітамінний завод" Україна; ПрАТ "Технолог", Україна UA/7831/01/02 необмежений 15,00 20,30 5 0,2707 16,24 4,06 15 Амлодипін Амлодипін-КВ таблетки 5 30 С08С А01 ПАТ "Київський вітамінний завод" Україна; ПрАТ "Технолог", Україна UA/7831/01/01 необмежений 9,75 13,20 5 0,2707 8,12 5,08 16 Амлодипін АМЛОДИПІН - АСТРАФАРМ таблетки 10 20 С08С А01 ТОВ "АСТРАФАРМ", Україна UA/3673/01/02 21.04.2020 11,20 15,16 5 0,2707 10,83 4,33 17 Амлодипін АМЛОДИПІН - АСТРАФАРМ таблетки 10 30 С08С А01 ТОВ "АСТРАФАРМ", Україна UA/3673/01/02 21.04.2020 16,96 22,96 5 0,2707 16,24 6,72 18 Амлодипін АМЛОДИПІН - АСТРАФАРМ таблетки 5 30 С08С А01 ТОВ "АСТРАФАРМ", Україна UA/3673/01/01 21.04.2020 12,64 17,11 5 0,2707 8,12 8,99 19 Амлодипін АМЛОДИПІН - АСТРАФАРМ таблетки 5 20 С08С А01 ТОВ "АСТРАФАРМ", Україна UA/3673/01/01 21.04.2020 9,44 12,78 5 0,2707 5,41 7,37 20 Амлодипін АМЛОПРИЛ® -ДАРНИЦЯ таблетки 10 20 C08CA01 ПрАТ "Фармацевтична фірма "Дарниця", Україна UA/7940/01/02 необмежений 8,00 10,83 5 0,2707 10,83 0,00
  3. 3. Продовження додатка3 21 Амлодипін АМЛОПРИЛ® -ДАРНИЦЯ таблетки 5 20 C08CA01 ПрАТ "Фармацевтична фірма "Дарниця", Україна UA/7940/01/01 необмежений 4,40 5,96 5 0,2707 5,41 0,55 22 Амлодипін АМЛОДИПІН -ДАРНИЦЯ таблетки 10 20 C08CA01 ПрАТ "Фармацевтична фірма "Дарниця", Україна UA/7940/01/02 необмежений 8,00 10,83 5 0,2707 10,83 0,00 23 Амлодипін АМЛОДИПІН -ДАРНИЦЯ таблетки 5 20 C08CA01 ПрАТ "Фармацевтична фірма "Дарниця", Україна UA/7940/01/01 необмежений 4,40 5,96 5 0,2707 5,41 0,55 24 Амлодипін АМЛОДИПІН таблетки 5 30 C08CA01 ПрАТ "Технолог", Україна UA/1427/01/01 01.08.2019 6,60 8,93 5 0,2707 8,12 0,81 25 Амлодипін АМЛОДИПІН таблетки 5 60 C08CA01 ПрАТ "Технолог", Україна UA/1427/01/01 01.08.2019 13,20 17,87 5 0,2707 16,24 1,63 26 Амлодипін АМЛОДИПІН таблетки 5 90 C08CA01 ПрАТ "Технолог", Україна UA/1427/01/01 01.08.2019 19,80 26,80 5 0,2707 24,36 2,44 27 Амлодипін АМЛОДИПІН таблетки 10 30 C08CA01 ПрАТ "Технолог", Україна UA/1427/01/02 01.08.2019 13,20 17,87 5 0,2707 16,24 1,63 28 Амлодипін АМЛОДИПІН таблетки 10 60 C08CA01 ПрАТ "Технолог", Україна UA/1427/01/02 01.08.2019 26,40 35,73 5 0,2707 32,49 3,24 29 Амлодипін АМЛОДИПІН таблетки 10 90 C08CA01 ПрАТ "Технолог", Україна UA/1427/01/02 01.08.2019 39,60 53,60 5 0,2707 48,73 4,87 30 Амлодипін АМЛОДИПІН -ФАРМАК таблетки 10 20 С08С А01 ПАТ "Фармак", Україна UA/4556/01/02 02.08.2018 9,93 13,44 5 0,2707 10,83 2,61 31 амлодипін АЛАДИН® таблетки 10 30 С08С А01 ПАТ “Фармак”, Україна UA/11314/01/0 2 02.08.2018 13,20 17,87 5 0,2707 16,24 1,63 32 амлодипін АЛАДИН® таблетки 10 50 С08С А01 ПАТ “Фармак”, Україна UA/11314/01/0 2 02.08.2018 22,00 29,78 5 0,2707 27,07 2,71 33 Амлодипін АМЛОДИПІН -ФАРМАК таблетки 5 20 С08С А01 ПАТ "Фармак", Україна UA/4556/01/01 02.08.2018 8,56 11,59 5 0,2707 5,41 6,18 34 Амлодипін АЛАДИН® таблетки 5 30 С08С А01 ПАТ “Фармак”, Україна UA/11314/01/0 1 02.08.2018 9,10 12,32 5 0,2707 8,12 4,20 35 Амлодипін АМЛОДИПІН САНДОЗ® таблетки 5 30 С08С А01 Лек фармацевтична компанія д.д., Словенія; Сандоз Ілак Санай ве Тікарет А.С., Туреччина; Сандоз Груп Саглик Урунлері Ілакларі Сан. ве Тік. А.С., Туреччина C.К. Сандоз С.Р.Л., Румунія UA/11166/01/0 1 19.08.2020 25,20 34,11 5 0,2707 8,12 25,99
  4. 4. Продовження додатка4 36 Амлодипін АМЛОДИПІН САНДОЗ® таблетки 10 30 С08С А01 Лек фармацевтична компанія д.д., Словенія; Сандоз Ілак Санай ве Тікарет А.С., Туреччина; Сандоз Груп Саглик Урунлері Ілакларі Сан. ве Тік. А.С., Туреччина C.К. Сандоз С.Р.Л., Румунія UA/11166/01/0 2 19.08.2020 45,06 60,99 5 0,2707 16,24 44,75 37 Амлодипін АЛАДИН® таблетки 5 50 С08С А01 ПАТ “Фармак”, Україна UA/11314/01/0 1 02.08.2018 14,00 18,95 5 0,2707 13,54 5,41 38 Амлодипін Амлодипін- Здоров'я таблетки 5 30 С08С А01 Товариство з обмеженою відповідальністю "Фармацевтична компанія "Здоров'я", Україна UA/1538/01/02 необмежен ий 11,25 15,23 5 0,2707 8,12 7,11 39 Амлодипін АМЛОНГ таблетки 10 30 C08CA01 Мікро Лабс Лімітед, Індія UA/6714/01/02 15.02.2018 30,00 40,61 5 0,2707 16,24 24,37 40 Амлодипін ЕМЛОДИН® таблетки 10 30 C08CA01 ЗАТ Фармацевтичний завод ЕГІС, Угорщина UA/6382/01/03 необмежен ий 51,69 69,96 5 0,2707 16,24 53,72 41 Амлодипін ЕМЛОДИН® таблетки 5 30 C08CA01 ЗАТ Фармацевтичний завод ЕГІС, Угорщина UA/6382/01/02 необмежен ий 25,84 34,98 5 0,2707 8,12 26,86 42 Амлодипін СЕМЛОПІН® таблетки 5 28 С08С А01 ТОВ "Кусум Фарм" Україна, Україна UA/9382/01/02 13.02.2019 22,4 30,32 5 0,2707 7,58 22,74 43 Амлодипін АМЛОДИПІН таблетки 5 30 C08CA01 ПАТ «Київмедпрепарат», Україна UA/1586/01/01 необмежен ий 16,44 22,25 5 0,2707 8,12 14,13 44 Амлодипін Амлодипін- Здоров'я таблетки 10 30 С08С А01 Товариство з обмеженою відповідальністю "Фармацевтична компанія "Здоров'я", Україна UA/1538/01/01 необмежен ий 17,28 23,39 5 0,2707 16,24 7,15 45 Атенолол АТЕНОЛОЛ- АСТРАФАРМ таблетки 100 20 С07 АВ03 ТОВ "АСТРАФАРМ", Україна UA/4941/01/02 необмежен ий 10,96 14,83 75 0,5563 14,83 0,00 46 Атенолол АТЕНОЛОЛ таблетки 50 20 C07A B03 ПАТ "Монфарм", Україна UA/8377/01/01 06.09.2018 8,40 11,37 75 0,5563 7,42 3,95 47 Атенолол АТЕНОЛОЛ- АСТРАФАРМ таблетки 50 20 С07 АВ03 ТОВ "АСТРАФАРМ", Україна UA/4941/01/01 необмежен ий 7,44 10,07 75 0,5563 7,42 2,65
  5. 5. Продовження додатка5 48 Атенолол АТЕНОЛОЛ - ЗДОРОВ'Я таблетки 50 20 C07A B03 ТОВ «Фармацевтична компанія «Здоров'я”, Україна UA/6065/01/01 необмежен ий 8,39 11,36 75 0,5563 7,42 3,94 49 Верапаміл ВЕРАПАМІЛ- ДАРНИЦЯ таблетки, вкриті плівковою оболонкою 80 50 C08DA01 ПрАТ "Фармацевтична фірма "Дарниця", Україна UA/3582/01/01 12.06.2020 22,50 30,45 240 1,8273 30,45 0,00 50 Верапаміл ВЕРАПАМІЛ- ДАРНИЦЯ таблетки, вкриті плівковою оболонкою 40 20 C08DA01 ПрАТ "Фармацевтична фірма "Дарниця", Україна UA/3582/01/02 необмежен ий 8,80 11,91 240 1,8273 6,09 5,82 51 Верапаміл ВЕРАПАМІЛУ ГІДРОХЛОРИД таблетки, вкриті плівковою оболонкою 80 50 С08DA01 Публічне акціонерне товариство "Науково- виробничий центр "Борщагівський хіміко- фармацевтичний завод", Україна UA/3226/01/01 06.03.2020 24,63 33,34 240 1,8273 30,45 2,89 52 Верапаміл ВЕРАПАМІЛУ ГІДРОХЛОРИД таблетки 40 20 C08D А01 Товариство з обмеженою відповідальністю "Дослідний завод "ГНЦЛС", Україна Товариство з обмеже- ною відповідальністю "Фармацевтична компанія "Здоров'я", Україна Товариство з обмеже- ною відповідальністю "ФАРМЕКС ГРУП" , Україна UA/5540/01/01 необмежен ий 6,00 8,12 240 1,8273 6,09 2,03 53 Гідрохлорт іазид ГІДРОХЛОР- ТІАЗИД таблетки 25 20 С03АА03 Публічне акціонерне товариство "Науково- виробничий центр "Борщагівський хіміко- фармацевтичний завод", Україна UA/6721/01/01 необмежен ий 15,00 20,30 25 1,0152 20,30 0,00 54 Спіронола ктон ВЕРОШПІРОН таблетки 25 20 C03DA01 ВАТ "Гедеон Ріхтер", Угорщина; ТОВ "Гедеон Ріхтер Польща", Польща UA/2775/02/01 необмежен ий 29,00 39,25 75 2,6056 17,37 21,88 55 Спіронола ктон СПІРОНОЛАКТОН САНДОЗ® таблетки 50 30 C03DA01 Салютас Фарма ГмбХ, Німеччина UA/14227/01/0 1 03.03.2020 51,18 69,27 75 2,6056 52,11 17,16 56 Спіронола ктон СПІРОНОЛАКТОН САНДОЗ® таблетки 100 30 C03DA01 Салютас Фарма ГмбХ, Німеччина UA/14227/01/0 2 03.03.2020 81,73 110,63 75 2,6056 104,22 6,41
  6. 6. Продовження додатка6 57 Спіронола ктон СПІРОНОЛАКТОН -ДАРНИЦЯ таблетки 100 30 C03DA01 ПрАТ "Фармацевтична фірма "Дарниця", Україна UA/0808/01/02 01.12.2021 77,00 104,22 75 2,6056 104,22 0,00 58 Спіронола ктон СПІРОНОЛАКТОН -ДАРНИЦЯ таблетки 25 30 C03DA01 ПрАТ "Фармацевтична фірма "Дарниця", Україна UA/0808/01/01 16.04.2019 19,25 26,06 75 2,6056 26,06 0,00 59 Фуросемід ФУРОСЕМІД- ДАРНИЦЯ таблетки 40 50 C03CA01 ПрАТ "Фармацевтична фірма "Дарниця", Україна UA/2353/01/01 25.12.2019 6,35 8,60 40 0,1719 8,60 0,00 60 Фуросемід ФУРОСЕМІД таблетки 40 50 С03С А01 ПАТ "Київмедпрепарат", Україна UA/0187/01/01 26.02.2019 10,49 14,20 40 0,1719 8,60 5,60 61 Фуросемід ФУРОСЕМІД таблетки 40 50 С03СА01 Публічне акціонерне товариство "Науково- виробничий центр "Борщагівський хіміко- фармацевтичний завод", Україна ТОВ "Агрофарм", Україна UA/3983/01/01 21.09.2020 6,35 8,60 40 0,1719 8,60 0,00 62 Фуросемід ФУРОСЕМІД таблетки 40 50 С03С А01 Товариство з обмеженою відповідальністю "Дослідний завод "ГНЦЛС" , Україна Товариство з обмеже- ною відповідальністю "ФАРМЕКС ГРУП" , Україна Товариство з обмеже- ною відповідальністю "Фармацевтична компанія "Здоров'я" , Україна UA/5153/02/01 необмежен ий 7,03 9,52 40 0,1719 8,60 0,92 63 Дигоксин ДИГОКСИН- ЗДОРОВ'Я таблетки 0,25 50 C01A A05 Товариство з обмеженою відповідальністю "Фармацевтична компанія "Здоров'я", Україна UA/4231/01/01 04.09.2020 7,625 10,32 0,25 0,2064 10,32 0,00 64 Дигоксин Дигоксин таблетки 0,25 40 С01АА05 Публічне акціонерне товариство "Науково- виробничий центр "Борщагівський хіміко- фармацевтичний завод", Україна UA/7365/01/01 необмежен ий 6,10 8,26 0,25 0,2064 8,26 0,00
  7. 7. Продовження додатка7 65 Еналаприл ЕНАЛАПРИЛ таблетки 10 20 С09А А02 ПАТ "Лубнифарм", Україна UA/1195/01/02 17.10.2019 5,00 6,77 10 0,2382 4,76 2,01 66 Еналаприл ЕНАЛАПРИЛ- ТЕВА таблетки 10 30 С09А А02 ТОВ Тева Оперейшнз Поланд, Польща UA/16349/01/0 3 11.10.2022 30,30 41,01 10 0,2382 7,15 33,86 67 Еналаприл ЕНАЛАПРИЛ- ТЕВА таблетки 20 30 С09А А02 ТОВ Тева Оперейшнз Поланд, Польща UA/16349/01/0 4 11.10.2022 44,40 60,10 10 0,2382 14,29 45,81 68 Еналаприл ЕНАЛАПРИЛ- ТЕВА таблетки 5 30 С09А А02 ТОВ Тева Оперейшнз Поланд, Польща UA/16349/01/0 2 11.10.2022 18,90 25,58 10 0,2382 3,57 22,01 69 Еналаприл ЕНАМ таблетки 10 20 С09А А02 Д-р Редді'с Лабораторіс Лтд, Виробнича дільниця - ІІ, Індія UA/2251/01/03 12.03.2020 25,00 33,84 10 0,2382 4,76 29,08 70 Еналаприл ЕНАЛАПРИЛ таблетки 10 50 С09А А02 Приватне акціонерне товариство "Лекхім- Харків", Україна UA/2818/01/01 06.03.2020 8,80 11,91 10 0,2382 11,91 0,00 71 Еналаприл ЕНАЛАПРИЛ таблетки 10 90 С09А А02 Приватне акціонерне товариство "Лекхім- Харків", Україна UA/2818/01/01 06.03.2020 15,84 21,44 10 0,2382 21,44 0,00 72 Еналаприл ЕНАЛАПРИЛ таблетки 10 20 С09А А02 Приватне акціонерне товариство "Лекхім- Харків", Україна UA/2818/01/01 06.03.2020 5,40 7,31 10 0,2382 4,76 2,55 73 Еналаприл ЕНАЛАПРИЛ- АСТРАФАРМ таблетки 20 20 С09А А02 ТОВ "АСТРАФАРМ", Україна UA/5232/01/03 08.02.2019 9,20 12,45 10 0,2382 9,53 2,92 74 Еналаприл ЕНАЛАПРИЛ- АСТРАФАРМ таблетки 10 20 С09А А02 ТОВ "АСТРАФАРМ", Україна UA/5232/01/02 08.02.2019 6,24 8,45 10 0,2382 4,76 3,69 75 Еналаприл ЕНАЛАПРИЛ- ДАРНИЦЯ таблетки 10 20 C09AA02 ПрАТ "Фармацевтична фірма "Дарниця", Україна UA/9020/01/01 22.11.2018 3,52 4,76 10 0,2382 4,76 0,00 76 Еналаприл ЕНАЛАПРИЛ таблетки 20 20 C09AA02 ПАТ «Київмед- препарат», Україна UA/8867/01/02 23.09.2018 10,89 14,74 10 0,2382 9,53 5,21
  8. 8. Продовження додатка8 77 Еналаприл ЕНАЛАПРИЛ таблетки 10 20 C09AA02 ПАТ «Київмед- препарат», Україна UA/8867/01/01 23.09.2018 8,22 11,13 10 0,2382 4,76 6,37 78 Еналаприл ЕНАЛОЗИД® МОНО таблетки 10 20 С09А А02 ПАТ "Фармак", Україна UA/15415/01/0 2 15.09.2021 10,50 14,21 10 0,2382 4,76 9,45 79 Еналаприл ЕНАЛАПРИЛ- ЗДОРОВ'Я таблетки 5 30 C09AA02 Товариство з обмеженою відповідальністю "Фармацевтична компанія "Здоров'я" , Україна Товариство з обмеженою відповідальністю "ФАРМЕКС ГРУП" , Україна UA/5913/01/03 необмежен ий 8,98 12,15 10 0,2382 3,57 8,58 80 Еналаприл ЕНАЛАПРИЛ- ЗДОРОВ'Я таблетки 5 20 C09AA02 Товариство з обмеже- ною відповідальністю "Фармацевтична компанія "Здоров'я" , Україна Товариство з обмеже- ною відповідальністю "ФАРМЕКС ГРУП" , Україна UA/5913/01/03 необмежен ий 6,51 8,81 10 0,2382 2,38 6,43 81 Еналаприл ЕНАЛАПРИЛ- ЗДОРОВ'Я таблетки 10 20 C09AA02 ТОВ «Фармацевтична компанія «Здоров'я”, Україна UA/5913/01/01 необмежен ий 7,64 10,34 10 0,2382 4,76 5,58 82 Еналаприл ЕНАЛАПРИЛ- ЗДОРОВ'Я таблетки 20 20 C09AA02 ТОВ «Фармацевтична компанія «Здоров'я”, Україна UA/5913/01/02 необмежен ий 10,21 13,82 10 0,2382 9,53 4,29 83 Карведилол КАРВЕДИЛО Л-КВ таблетки 25 30 C07A G02 ПАТ "Київський вітамінний завод", Україна UA/8685/01/02 18.04.2018 40,00 54,14 37,5 2,7071 54,14 0,00 84 Карведилол КАРВЕДИЛО Л-КВ таблетки 12,5 30 C07A G02 ПАТ "Київський вітамінний завод", Україна UA/8685/01/01 18.04.2018 29,90 40,47 37,5 2,7071 27,07 13,40 85 Карведилол КАРВЕДИЛО Л АУРОБІНДО таблетки, вкриті плівковою оболонкою 6,25 30 C07A G02 Ауробіндо Фарма Лімітед (Юніт ІІІ), Індія UA/15796/01/0 1 15.02.2022 10,00 13,54 37,5 2,7071 13,54 0,00 86 Карведилол КАРВЕДИЛО Л АУРОБІНДО таблетки, вкриті плівковою оболонкою 12,5 30 C07A G02 Ауробіндо Фарма Лімітед (Юніт ІІІ), Індія UA/15796/01/0 2 15.02.2022 20,00 27,07 37,5 2,7071 27,07 0,00
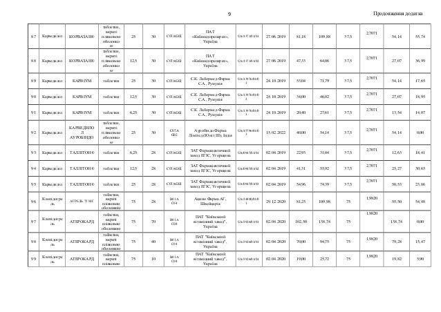
  9. 9. Продовження додатка9 87 Карведилол КОРВАЗАН® таблетки, вкриті плівковою оболонко ю 25 30 C07AG02 ПАТ «Київмедпрепарат», Україна UA/1371/01/01 27.06.2019 81,18 109,88 37,5 2,7071 54,14 55,74 88 Карведилол КОРВАЗАН® таблетки, вкриті плівковою оболонко ю 12,5 30 C07AG02 ПАТ «Київмедпрепарат», Україна UA/1371/01/02 27.06.2019 47,33 64,06 37,5 2,7071 27,07 36,99 89 Карведилол КАРВІУМ таблетки 25 30 C07AG02 С.К. Лабормед-Фарма С.А., Румунія UA/13976/01/0 3 24.10.2019 53,04 71,79 37,5 2,7071 54,14 17,65 90 Карведилол КАРВІУМ таблетки 12,5 30 C07AG02 С.К. Лабормед-Фарма С.А., Румунія UA/13976/01/0 2 24.10.2019 34,00 46,02 37,5 2,7071 27,07 18,95 91 Карведилол КАРВІУМ таблетки 6,25 30 C07AG02 С.К. Лабормед-Фарма С.А., Румунія UA/13976/01/0 1 24.10.2019 20,40 27,61 37,5 2,7071 13,54 14,07 92 Карведилол КАРВЕДИЛО Л АУРОБІНДО таблетки, вкриті плівковою оболонко ю 25 30 C07A G02 Ауробіндо Фарма Лімітед (Юніт ІІІ), Індія UA/15796/01/0 3 15.02.2022 40,00 54,14 37,5 2,7071 54,14 0,00 93 Карведилол ТАЛЛІТОН® таблетки 6,25 28 C07AG02 ЗАТ Фармацевтичний завод ЕГІС, Угорщина UA/0947/01/01 02.04.2019 22,93 31,04 37,5 2,7071 12,63 18,41 94 Карведилол ТАЛЛІТОН® таблетки 12,5 28 C07AG02 ЗАТ Фармацевтичний завод ЕГІС, Угорщина UA/0947/01/02 02.04.2019 41,31 55,92 37,5 2,7071 25,27 30,65 95 Карведилол ТАЛЛІТОН® таблетки 25 28 C07AG02 ЗАТ Фармацевтичний завод ЕГІС, Угорщина UA/0947/01/03 02.04.2019 54,96 74,39 37,5 2,7071 50,53 23,86 96 Клопідогре ль АГРЕЛЬ 75 МГ таблетки, вкриті плівковою оболонкою 75 28 В01А С04 Ацино Фарма АГ, Швейцарія UA/14800/01/0 1 29.12.2020 81,25 109,98 75 1,9820 55,50 54,48 97 Клопідогре ль АТЕРОКАРД таблетки, вкриті плівковою оболонкою 75 70 В01А С04 ПАТ "Київський вітамінний завод", Україна UA/3926/01/01 02.04.2020 102,50 138,74 75 1,9820 138,74 0,00 98 Клопідогре ль АТЕРОКАРД таблетки, вкриті плівковою оболонкою 75 40 В01А С04 ПАТ "Київський вітамінний завод", Україна UA/3926/01/01 02.04.2020 70,00 94,75 75 1,9820 79,28 15,47 99 Клопідогре ль АТЕРОКАРД таблетки, вкриті плівковою 75 10 В01А С04 ПАТ "Київський вітамінний завод", Україна UA/3926/01/01 02.04.2020 19,00 25,72 75 1,9820 19,82 5,90
  10. 10. Продовження додатка10 оболонкою 100 Клопідогре ль КЛОПІДОГРЕ Л-ТЕВА таблетки, вкриті плівковою оболонкою 75 30 В01А С04 Тева Фармацевтікал Індастріз Лтд., Ізраїль UA/14007/01/0 1 31.10.2019 64,50 87,30 75 1,9820 59,46 27,84 101 Клопідогре ль КЛОПІДОГРЕ Л-ТЕВА таблетки, вкриті плівковою оболонкою 75 90 В01А С04 Тева Фармацевтікал Індастріз Лтд., Ізраїль UA/14007/01/0 1 31.10.2019 177,30 239,98 75 1,9820 178,38 61,60 102 Клопідогре ль ЛОПІРЕЛ таблетки, вкриті плівковою оболонкою 75 90 В01А С04 Актавіс ЛТД, Мальта UA/11636/01/0 1 19.07.2021 177,30 239,98 75 1,9820 178,38 61,60 103 Клопідогре ль ЛОПІРЕЛ таблетки, вкриті плівковою оболонкою 75 30 В01А С04 Актавіс ЛТД, Мальта UA/11636/01/0 1 19.07.2021 64,50 87,30 75 1,9820 59,46 27,84 104 Клопідогре ль МЕДОГРЕЛЬ таблетки, вкриті плівковою оболонкою 75 30 В01А С04 Актавіс ЛТД, Мальта Медокемі ЛТД (Центральний Завод), Кіпр. Медокемі ЛТД (Завод AZ), Кіпр UA/12149/01/0 1 необмежен ий 88,32 119,55 75 1,9820 59,46 60,09 105 Клопідогре ль КЛОДІЯ таблетки, вкриті плівковою оболонкою 75 30 В01А С04 ФАРМАТЕН С.А., Греція ФАРМАТЕН ІНТЕРНЕШНЛ С.А., Греція UA/13673/01/0 1 16.06.2019 61,20 82,84 75 1,9820 59,46 23,38 106 Клопідогре ль ПЛАГРИЛ® таблетки, вкриті плівковою оболонкою 75 30 В01А С04 Д-р Редді'с Лабораторіс Лтд, Індія UA/10625/01/0 1 01.08.2019 84,20 113,97 75 1,9820 59,46 54,51 107 Клопідогре ль ПЛАЗЕП таблетки, вкриті плівковою оболонкою 75 30 В01А С04 МСН Лабораторіс Пвт. Лтд., Індія UA/14805/01/0 1 13.01.2021 58,00 78,51 75 1,9820 59,46 19,05 108 Клопідогре ль ФЛАМОГРЕЛЬ 75 таблетки, вкриті плівковою оболонкою 75 100 В01А С04 Фламінго Фармасьютикалс Лтд, Індія UA/7441/01/01 15.04.2018 164,00 221,98 75 1,9820 198,20 23,78 109 Клопідогре ль АТРОГРЕЛ таблетки, вкриті плівковою оболонкою 75 30 В01А С04 Публічне акціонерне товариство "Науково- виробничий центр "Борщагівський хіміко- фармацевтичний завод", Україна UA/6567/01/01 необмежен ий 52,37 70,89 75 1,9820 59,46 11,43 110 Клопідогре ль ОНЕКЛАПЗ таблетки, вкриті плівковою оболонкою 75 30 В01А С04 Ауробіндо Фарма Лімітед (Юніт ІІІ), Індія UA/14263/01/0 1 06.03.2020 43,93 59,46 75 1,9820 59,46 0,00
  11. 11. Продовження додатка11 111 Клопідогре ль КЛОПІДОГРЕ ЛЬ таблетки, вкриті оболонкою 75 10 B01A C04 Товариство з обмеженою відпо- відальністю "Дослідний завод "ГНЦЛС" , Україна Товариство з обмеже- ною відповіда- льністю"ФАРМЕКС ГРУП" , Україна Товариство з обмеже- ною відповідальністю "Фармацевтична компанія "Здоров'я" , Україна UA/3924/01/01 03.09.2020 22,96 31,08 75 1,9820 19,82 11,26 112 Клопідогре ль КЛОПІДОГРЕ ЛЬ-ФАРМЕКС таблетки, вкриті оболонкою 75 30 B01A C04 ТОВ "ФАРМЕКС ГРУП", Україна UA/11699/01/0 1 необмежен ий 61,50 83,24 75 1,9820 59,46 23,78 113 Клопідогре ль НУГРЕЛ таблетки, вкриті плівковою оболонкою 75 30 B01A C04 Мікро Лабс Лімітед, Індія UA/9682/01/01 03.03.2020 64,00 86,63 75 1,9820 59,46 27,17 114 Клопідогре ль ТРОМБОНЕТ ® таблетки, вкриті плівковою оболонкою 75 30 B01A C04 ПАТ "Фармак", Україна UA/4315/01/01 17.02.2021 71,00 96,10 75 1,9820 59,46 36,64 115 Клопідогре ль ТРОМБОНЕТ ® таблетки, вкриті плівковою оболонкою 75 60 B01A C04 ПАТ "Фармак", Україна UA/4315/01/01 17.02.2021 87,86 118,92 75 1,9820 118,92 0,00 116 Клопідогре ль ПЛАТОГРІЛ® таблетки, вкриті оболонкою 75 28 B01A C04 ТОВ "Кусум Фарм", Україна UA/11433/01/0 1 31.03.2021 53,90 72,96 75 1,9820 55,50 17,46 117 Клопідогре ль ПЛАТОГРІЛ® таблетки, вкриті оболонкою 75 84 B01A C04 ТОВ "Кусум Фарм", Україна UA/11433/01/0 1 31.03.2021 140,00 189,50 75 1,9820 166,49 23,01 118 Клопідогре ль КЛОПІДОГРЕ ЛЬ таблетки, вкриті оболонкою 75 30 B01A C04 Товариство з обмеженою відповідальністю "Дослідний завод "ГНЦЛС" , Україна Товариство з обмеженою відповідальністю"ФАРМЕ КС ГРУП" , Україна Товариство з обмеженою відповідальністю "Фармацевтична компанія "Здоров'я" , Україна UA/3924/01/01 03.09.2020 61,50 83,24 75 1,9820 59,46 23,78 119 Бісопролол БІСОПРОЛОЛ -КВ таблетки 10 30 C07A B07 ПАТ "Київський вітамінний завод" Україна UA/8672/01/02 09.04.2018 19,50 26,39 10 0,8798 26,39 0,00
  12. 12. Продовження додатка12 120 Бісопролол БІСОПРОЛОЛ -КВ таблетки 5 30 C07A B07 ПАТ "Київський вітамінний завод" Україна UA/8672/01/01 09.04.2018 11,40 15,43 10 0,8798 13,20 2,23 121 Бісопролол БІСОПРОЛОЛ -ТЕВА таблетки 10 30 C07A B07 Меркле ГмбХ, Німеччина UA/1728/01/02 16.03.2021 32,40 43,86 10 0,8798 26,39 17,47 122 Бісопролол БІСОПРОЛОЛ -ТЕВА таблетки 10 50 C07A B07 Меркле ГмбХ, Німеччина UA/1728/01/02 16.03.2021 54,00 73,09 10 0,8798 43,99 29,10 123 Бісопролол БІСОПРОЛОЛ -ТЕВА таблетки 5 30 C07A B07 Меркле ГмбХ, Німеччина UA/1728/01/01 16.03.2021 24,90 33,70 10 0,8798 13,20 20,50 124 Бісопролол БІСОПРОЛОЛ -ТЕВА таблетки 5 50 C07A B07 Меркле ГмбХ, Німеччина UA/1728/01/01 16.03.2021 41,50 56,17 10 0,8798 22,00 34,17 125 Бісопролол БІСОПРОЛОЛ - АСТРАФАРМ таблетки 10 30 C07A B07 ТОВ "АСТРАФАРМ", Україна UA/8959/01/03 13.09.2018 24,72 33,46 10 0,8798 26,39 7,07 126 Бісопролол БІСОПРОЛОЛ - АСТРАФАРМ таблетки 10 20 C07A B07 ТОВ "АСТРАФАРМ", Україна UA/8959/01/03 13.09.2018 16,80 22,74 10 0,8798 17,60 5,14 127 Бісопролол БІСОПРОЛОЛ - АСТРАФАРМ таблетки 5 30 C07A B07 ТОВ "АСТРАФАРМ", Україна UA/8959/01/02 13.09.2018 14,00 18,95 10 0,8798 13,20 5,75 128 Бісопролол БІСОПРОЛОЛ - АСТРАФАРМ таблетки 5 20 C07A B07 ТОВ "АСТРАФАРМ", Україна UA/8959/01/02 13.09.2018 11,04 14,94 10 0,8798 8,80 6,14 129 Бісопролол БІПРОЛОЛ таблетки 10 30 C07A B07 Публічне акціонерне товариство "Науково- виробничий центр "Борщагівський хіміко- фармацевтичний завод", Україна UA/3800/01/02 21.10.2020 19,50 26,39 10 0,8798 26,39 0,00 130 Бісопролол БІСОПРОЛОЛ КРКА таблетки, вкриті плівковою оболонкою 5 30 C07A B07 КРКА, д.д., Ново место, Словенія; ТАД Фарма ГмбХ, Німеччина UA/13869/01/0 2 18.09.2019 29,97 40,57 10 0,8798 13,20 27,37 131 Бісопролол БІСОПРОЛОЛ КРКА таблетки, вкриті плівковою оболонкою 5 90 C07A B07 КРКА, д.д., Ново место, Словенія; ТАД Фарма ГмбХ, Німеччина UA/13869/01/0 2 18.09.2019 89,91 121,70 10 0,8798 39,59 82,11 132 Бісопролол БІСОПРОЛОЛ КРКА таблетки, вкриті плівковою оболонкою 10 30 C07A B07 КРКА, д.д., Ново место, Словенія; ТАД Фарма ГмбХ, Німеччина UA/13869/01/0 3 18.09.2019 59,94 81,13 10 0,8798 26,39 54,74 133 Бісопролол БІСОПРОЛОЛ КРКА таблетки, вкриті плівковою оболонкою 10 90 C07A B07 КРКА, д.д., Ново место, Словенія; ТАД Фарма ГмбХ, Німеччина UA/13869/01/0 3 18.09.2019 179,82 243,40 10 0,8798 79,18 164,22
  13. 13. Продовження додатка13 134 Бісопролол БІПРОЛОЛ- ЗДОРОВ'Я таблетки, вкриті плівковою оболонкою 10 30 C07A B07 Товариство з обмеже- ною відповідальністю "Фармацевтична компанія "Здоров'я", Україна UA/14025/01/0 3 06.11.2019 24,53 33,20 10 0,8798 26,39 6,81 135 Бісопролол БІПРОЛОЛ- ЗДОРОВ'Я таблетки, вкриті плівковою оболонкою 5 30 C07A B07 Товариство з обмеже- ною відповідальністю "Фармацевтична компанія "Здоров'я", Україна UA/14025/01/0 2 06.11.2019 12,97 17,56 10 0,8798 13,20 4,36 136 Бісопролол БІПРОЛОЛ- ЗДОРОВ'Я таблетки, вкриті плівковою оболонкою 2,5 30 C07A B07 Товариство з обмеженою відповідальністю "Фармацевтична компанія "Здоров'я", Україна UA/14025/01/0 1 06.11.2019 10,40 14,08 10 0,8798 6,60 7,48 137 Бісопролол БІСОПРОЛОЛ САНДОЗ® таблетки, вкриті плівковою оболонкою 10 30 C07A B07 Салютас Фарма ГмбХ , Німеччина; Лек С.А., Польща UA/4401/01/02 27.11.2020 32,14 43,50 10 0,8798 26,39 17,11 138 Бісопролол БІСОПРОЛОЛ САНДОЗ® таблетки, вкриті плівковою оболонкою 10 90 C07A B07 Салютас Фарма ГмбХ , Німеччина; Лек С.А., Польща UA/4401/01/02 27.11.2020 58,50 79,18 10 0,8798 79,18 0,00 139 Бісопролол БІСОПРОЛОЛ САНДОЗ® таблетки, вкриті плівковою оболонкою 5 90 C07A B07 Салютас Фарма ГмбХ , Німеччина; Лек С.А., Польща UA/4401/01/01 27.11.2020 57,83 78,28 10 0,8798 39,59 38,69 140 Бісопролол БІСОПРОЛОЛ САНДОЗ® таблетки, вкриті плівковою оболонкою 5 30 C07A B07 Салютас Фарма ГмбХ , Німеччина; Лек С.А., Польща UA/4401/01/01 27.11.2020 19,78 26,77 10 0,8798 13,20 13,57 141 Бісопролол ДОРЕЗ® таблетки, вкриті плівковою оболонкою 5 30 C07A B07 Алкалоїд АД - Скоп'є, Республіка Македонія UA/11285/01/0 2 24.02.2021 29,92 40,50 10 0,8798 13,20 27,30 142 Бісопролол ДОРЕЗ® таблетки, вкриті плівковою оболонкою 10 30 C07A B07 Алкалоїд АД - Скоп'є, Республіка Македонія UA/11285/01/0 3 24.02.2021 51 69,03 10 0,8798 26,39 42,64 143 Бісопролол БІСОПРОЛ® таблетки 5 20 C07A B07 ПАТ "Фармак", Україна UA/3214/01/01 30.03.2020 10,00 13,54 10 0,8798 8,80 4,74 144 Бісопролол БІСОПРОЛ® таблетки 5 50 C07A B07 ПАТ "Фармак", Україна UA/3214/01/01 30.03.2020 16,25 22,00 10 0,8798 22,00 0,00 145 Бісопролол БІСОПРОЛ® таблетки 10 20 C07A B07 ПАТ "Фармак", Україна UA/3214/01/02 30.03.2020 19,00 25,72 10 0,8798 17,60 8,12 146 Бісопролол БІСОПРОЛ® таблетки 10 50 C07A B07 ПАТ "Фармак", Україна UA/3214/01/02 30.03.2020 32,50 43,99 10 0,8798 43,99 0,00
  14. 14. Продовження додатка14 147 Бісопролол БІПРОЛОЛ таблетки 5 30 C07A B07 Публічне акціонерне товариство "Науково- виробничий центр "Борщагівський хіміко- фармацевтичний завод", Україна UA/3800/01/01 21.10.2020 9,75 13,20 10 0,8798 13,20 0,00 148 Гліклазид ДІАГЛІЗИД® MR таблетки з модифіко- ваним вивільненням 30 60 А10ВВ09 ПАТ "Фармак", Україна UA/6986/01/01 необмежен ий 62,00 83,92 60 1,0998 32,99 50,93 149 Гліклазид ДІАГЛІЗИД® MR таблетки з модифіко- ваним вивільненням 60 30 А10ВВ09 ПАТ "Фармак", Україна UA/6986/01/02 28.05.2019 65,00 87,98 60 1,0998 32,99 54,99 150 Гліклазид ДІАГЛІЗИД® таблетки 80 60 А10ВВ09 ПАТ "Фармак", Україна UA/6986/02/01 15.03.2018 65,00 87,98 60 1,0998 87,98 0,00 151 Гліклазид ДІАГЛІЗИД® MR таблетки з модифікова- ним вивільненням 30 30 А10ВВ09 ПАТ "Фармак", Україна UA/6986/01/01 необмежен ий 38,00 51,43 60 1,0998 16,50 34,93 152 Гліклазид ГЛІКЛАДА таблетки з модифікова- ним вивільненням 60 30 А10ВВ09 КРКА, д.д., Ново место, Словенія UA/14151/01/0 1 29.12.2019 58,68 79,43 60 1,0998 32,99 46,44 153 Гліклазид Гліклазид- Здоров´я таблетки 80 30 A10B B09 Товариство з обмеже- ною відповідальністю "Фармацевтична компанія "Здоров'я", Україна Товариство з обмеже- ною відповідальністю "ФАРМЕКС ГРУП" , Україна UA/7826/01/01 необмежен ий 36,13 48,90 60 1,0998 43,99 4,91 154 Гліклазид ДІАНОРМ-MR таблетки з модифіков аним вивільненн ям 60 30 A10B B09 Мікро Лабс Лімітед, Індія UA/15571/01/0 1 24.11.2021 85,00 115,05 60 1,0998 32,99 82,06 155 Гліклазид ДІАБЕТОН® MR 60 мг таблетки з модифіков аним вивільненн ям 60 30 А10ВВ09 Лабораторії Серв'є Індастрі, Франція; Серв'є (Ірландія) Індастріс Лтд, Ірландія UA/2158/02/02 16.03.2021 89,89 121,67 60 1,0998 32,99 88,68 156 Метформін МЕТФОРМІН- ТЕВА таблетки 850 30 A10B A02 ТОВ Тева Оперейшнз Поланд, Польща UA/7795/01/02 необмежен ий 25,50 34,52 2000 2,2108 28,19 6,33
  15. 15. Продовження додатка15 157 Метформін МЕТФОРМІН- ТЕВА таблетки 500 30 A10B A02 ТОВ Тева Оперейшнз Поланд, Польща UA/7769/01/01 05.12.2019 20,10 27,21 2000 2,2108 16,58 10,63 158 Метформін МЕГЛІФОРТ 500 таблетки, вкриті плівковою оболонкою 500 30 A10B A02 ІНДОКО РЕМЕДІЗ ЛТД, Індія UA/12645/01/0 1 необмежен ий 15,00 20,30 2000 2,2108 16,58 3,72 159 Метформін МЕГЛІФОРТ 850 таблетки, вкриті плівковою оболонкою 850 30 A10B A02 ІНДОКО РЕМЕДІЗ ЛТД, Індія UA/12645/01/0 2 необмежен ий 22,00 29,78 2000 2,2108 28,19 1,59 160 Метформін МЕТФОРМІН- АСТРАФАРМ таблетки, вкриті плівковою оболонкою 1000 30 A10B A02 ТОВ "АСТРАФАРМ", Україна UA/15739/01/0 3 17.01.2022 24,96 33,78 2000 2,2108 33,16 0,62 161 Метформін МЕТФОРМІН- АСТРАФАРМ таблетки, вкриті плівковою оболонкою 850 30 A10B A02 ТОВ "АСТРАФАРМ", Україна UA/15739/01/0 2 17.01.2022 21,20 28,70 2000 2,2108 28,19 0,51 162 Метформін МЕТФОРМІН- АСТРАФАРМ таблетки, вкриті плівковою оболонкою 500 30 A10B A02 ТОВ "АСТРАФАРМ", Україна UA/15739/01/0 1 17.01.2022 19,36 26,20 2000 2,2108 16,58 9,62 163 Метформін ДІАФОРМІН® таблетки 500 30 A10B A02 ПАТ "Фармак", Україна UA/2508/01/01 05.12.2019 18,00 24,36 2000 2,2108 16,58 7,78 164 Метформін ДІАФОРМІН® таблетки 500 60 A10B A02 ПАТ "Фармак", Україна UA/2508/01/01 05.12.2019 24,50 33,16 2000 2,2108 33,16 0,00 165 Метформін ДІАФОРМІН® таблетки 850 30 A10B A02 ПАТ "Фармак", Україна UA/2508/01/02 05.12.2019 24,00 32,49 2000 2,2108 28,19 4,30 166 Метформін ДІАФОРМІН® таблетки 850 60 A10B A02 ПАТ "Фармак", Україна UA/2508/01/02 05.12.2019 41,65 56,38 2000 2,2108 56,38 0,00 167 Метформін ДІАФОРМІН® таблетки, вкриті плівковою оболонкою 1000 60 A10B A02 ПАТ "Фармак", Україна UA/15141/01/0 3 12.05.2021 77,15 104,43 2000 2,2108 66,32 38,11 168 Метформін ДІАФОРМІН® таблетки, вкриті плівковою оболонкою 1000 60 A10B A02 ПАТ "Фармак", Україна UA/11857/02/0 1 необмежен ий 77,15 104,43 2000 2,2108 66,32 38,11 169 Метформін МЕТАМІН® таблетки, вкриті оболонкою 850 100 A10B A02 ТОВ "КУСУМ ФАРМ", Україна UA/11506/02/0 2 необмежен ий 73,30 99,22 2000 2,2108 93,96 5,26
  16. 16. Продовження додатка16 170 Метформін МЕТАМІН® таблетки, вкриті оболонкою 850 30 A10B A02 ТОВ "КУСУМ ФАРМ", Україна UA/11506/02/0 2 необмежен ий 24,00 32,49 2000 2,2108 28,19 4,30 171 Метформін МЕТАМІН® таблетки, вкриті оболонкою 1000 90 A10B A02 ТОВ "КУСУМ ФАРМ", Україна UA/11506/02/0 3 необмежен ий 92,00 124,53 2000 2,2108 99,49 25,04 172 Метформін МЕТАМІН® таблетки, вкриті оболонкою 1000 30 A10B A02 ТОВ "КУСУМ ФАРМ", Україна UA/11506/02/0 3 необмежен ий 35,00 47,37 2000 2,2108 33,16 14,21 173 Метформін МЕТАМІН® таблетки, вкриті оболонкою 500 100 A10B A02 ТОВ "КУСУМ ФАРМ", Україна UA/11506/02/0 1 необмежен ий 43,30 58,61 2000 2,2108 55,27 3,34 174 Метформін МЕТАМІН® таблетки, вкриті оболонкою 500 30 A10B A02 ТОВ "КУСУМ ФАРМ", Україна UA/11506/02/0 1 необмежен ий 18,00 24,36 2000 2,2108 16,58 7,78 175 Метформін ІНСУФОР таблетки, вкриті плівковою оболонкою 850 30 A10B A02 Ілко Ілач Сан. ве Тідж. А.Ш., Туреччина UA/14631/01/0 1 21.09.2020 38,25 51,77 2000 2,2108 28,19 23,58 176 Метформін ІНСУФОР таблетки, вкриті плівковою оболонкою 1000 30 A10B A02 Ілко Ілач Сан. ве Тідж. А.Ш., Туреччина UA/14631/01/0 2 21.09.2020 45,00 60,91 2000 2,2108 33,16 27,75 177 Метформін МЕТФОРМІН ІНДАР таблетки, вкриті плівковою оболонкою 500 30 A10B A02 ПрАТ "По виробництву інсулінів "Індар", Україна UA/15947/01/0 1 28.04.2022 18,00 24,36 2000 2,2108 16,58 7,78 178 Метформін МЕТФОРМІН ІНДАР таблетки, вкриті плівковою оболонкою 500 60 A10B A02 ПрАТ "По виробництву інсулінів "Індар", Україна UA/15947/01/0 1 28.04.2022 34,00 46,02 2000 2,2108 33,16 12,86 179 Метформін МЕТФОРМІН ІНДАР таблетки, вкриті плівковою оболонкою 1000 60 A10B A02 ПрАТ "По виробництву інсулінів "ІНДАР", Україна (виробництво з пакування in bulk фірми "ІНДОКО РЕМЕДІЗ ЛТД", Індія), Україна UA/15947/01/0 2 28.04.2022 60,00 81,21 2000 2,2108 66,32 14,89 180 Метформін МЕТФОРМІН ІНДАР таблетки, вкриті плівковою оболонкою 1000 30 A10B A02 ПрАТ "По виробництву інсулінів "ІНДАР", Україна (виробництво з пакування in bulk фірми "ІНДОКО РЕМЕДІЗ ЛТД", Індія), Україна UA/15947/01/0 2 28.04.2022 24,50 33,16 2000 2,2108 33,16 0,00
  17. 17. Продовження додатка17 181 Метформін МЕФАРМІЛ® таблетки, вкриті плівковою оболонкою 500 30 A10BA02 ПАТ "Київмедпрепарат" (виробництво з пакування in bulk фірми- виробника "ІНДОКО РЕМЕДІЗ ЛТД”, Індія), Україна UA/14013/01/0 1 06.11.2019 18,48 25,01 2000 2,2108 16,58 8,43 182 Метформін МЕФАРМІЛ® таблетки, вкриті плівковою оболонкою 500 60 A10BA02 ПАТ "Київмедпрепарат" (виробництво з пакування in bulk фірми- виробника "ІНДОКО РЕМЕДІЗ ЛТД”, Індія), Україна UA/14013/01/0 1 06.11.2019 36,95 50,01 2000 2,2108 33,16 16,85 183 Метформін МЕФАРМІЛ® таблетки, вкриті плівковою оболонкою 850 30 A10BA02 ПАТ "Київмедпрепарат" (виробництво з пакування in bulk фірми- виробника "ІНДОКО РЕМЕДІЗ ЛТД”, Індія), Україна UA/14013/01/0 2 06.11.2019 31,4 42,50 2000 2,2108 28,19 14,31 184 Метформін МЕФАРМІЛ® таблетки, вкриті плівковою оболонко ю 850 60 A10BA02 ПАТ "Київмедпрепарат" (виробництво з пакування in bulk фірми- виробника "ІНДОКО РЕМЕДІЗ ЛТД”, Індія), Україна UA/14013/01/0 2 06.11.2019 43,68 59,12 2000 2,2108 56,38 2,74 185 Метформін МЕФАРМІЛ® таблетки, вкриті плівковою оболонко ю 1000 30 A10BA02 ПАТ "Київмедпрепарат" (виробництво з пакування in bulk фірми- виробника "ІНДОКО РЕМЕДІЗ ЛТД”, Індія), Україна UA/14013/01/0 3 06.11.2019 36,95 50,01 2000 2,2108 33,16 16,85 186 Метформін МЕФАРМІЛ® таблетки, вкриті плівковою оболонко ю 1000 60 A10BA02 ПАТ "Київмедпрепарат" (виробництво з пакування in bulk фірми- виробника "ІНДОКО РЕМЕДІЗ ЛТД”, Індія), Україна UA/14013/01/0 3 06.11.2019 51,39 69,56 2000 2,2108 66,32 3,24 187 Метформін МЕТФОРМІН- АСТРАФАРМ таблетки, вкриті плівковою оболонко ю 500 60 A10B A02 ТОВ "АСТРАФАРМ", Україна UA/15739/01/0 1 17.01.2022 35,20 47,64 2000 2,2108 33,16 14,48 188 Нітрогліце рин НІТРОГЛІЦЕР ИН таблетки сублінгвал ьні 0,5 40 C01DA02 ПрАТ "Технолог" Україна UA/6393/01/01 необмежен ий 6,70 9,07 2,5 1,0659 8,53 0,54 189 Нітрогліце рин Нітрогліцерин- Здоров'я таблетки сублінгвал ьні 0,5 40 C01DA02 ТОВ «Фармацевтична компанія «Здоров'я”, Україна UA/0052/01/01 02.08.2018 8,00 10,83 2,5 1,0659 8,53 2,30
  18. 18. Продовження додатка18 190 Нітрогліце рин НІТРОГЛІЦЕР ИН таблетки сублінгваль ні 0,5 40 C01DA02 ТОВ Науково-виробнича фірма "Мікрохім", Україна UA/0129/01/01 19.05.2019 6,30 8,53 2,5 1,0659 8,53 0,00 191 ізосорбіду динітрат ІЗО-МІК® 5 МГ таблетки сублінгваль ні 5 50 C01DA08 ТОВ Науково-виробнича фірма "Мікрохім", Україна UA/3186/03/01 необмежен ий 13,40 18,14 60 4,3530 18,14 0,00 192 Беклометаз он БЕКЛАЗОН- ЕКО аерозоль для інгаляцій 250 200 R03B A01 Нортон (Ватерфорд) Лімітед Т/А АЙВЕКС Фармасьютикалз Ірландія Т/А Тева Фармасьютикалз Ірландія, Ірландія UA/5384/01/02 необмежен ий 212,00 286,95 800 3,5790 223,69 63,26 193 Беклометаз он БЕКЛАЗОН- ЕКО аерозоль для інгаляцій 100 200 R03B A01 Нортон (Ватерфорд) Лімітед Т/А АЙВЕКС Фармасьютикалз Ірландія Т/А Тева Фармасьютикалз Ірландія, Ірландія UA/5384/01/01 необмежен ий 180,00 243,64 800 3,5790 89,48 154,16 194 Беклометаз он БЕКЛОФОРТ™ ЕВОХАЛЕР™ аерозоль для інгаляцій, дозований 250 200 R03B A01 Глаксо Веллком Продакшн, Франція UA/1203/01/01 01.08.2019 165,26 223,69 800 3,5790 223,69 0,00 195 Будесонід БУДЕСОНІД ІЗІХЕЙЛЕР Порошок для інгаляцій 200 200 R03B A02 Оріон Корпорейшн, Фінляндія UA/14857/01/0 1 15.08.2021 484,82 656,23 800 6,9031 345,16 311,07 196 Будесонід ПУЛЬМІКОРТ ТУРБУХАЛЕР Порошок для інгаляцій 100 200 R03B A02 АстраЗенека АБ, Швеція UA/5552/02/01 03.07.2019 225,97 305,86 800 6,9031 172,58 133,28 197 Будесонід ПУЛЬМІКОРТ ТУРБУХАЛЕР Порошок для інгаляцій 200 100 R03B A02 АстраЗенека АБ, Швеція UA/5552/02/02 04.07.2019 225,97 305,86 800 6,9031 172,58 133,28 198 Будесонід БУДЕСОНІД- ІНТЕЛІ інгаляція під тиском, суспензія 50 200 R03B A02 Лабораторіо Альдо- Юніон, С.Л., Іспанія UA/12444/01/0 1 необмежен ий 132,00 178,67 800 6,9031 86,29 92,38 199 Будесонід БУДЕСОНІД- ІНТЕЛІ інгаляція під тиском, суспензія 200 200 R03B A02 Лабораторіо Альдо- Юніон, С.Л., Іспанія UA/12444/01/0 2 необмежен ий 255,00 345,16 800 6,9031 345,16 0,00 200 Будесонід ПУЛЬМІКОРТ суспензія для розпилення 0,5 40 R03B A02 АстраЗенека АБ, Швеція UA/5552/01/02 15.08.2021 649,06 878,54 1,5 65,8901 878,54 0,00 201 Сальбутамол САЛЬБУТАМОЛ- НЕО інгаляція під тиском 100 200 R03АC02 ТОВ "Мікрофарм", Україна UA/10530/01/0 1 04.09.2020 48,00 64,97 800 2,5988 64,97 0,00 202 Сальбутамол САЛЬБУТАМОЛ- ІНТЕЛІ інгаляція під тиском, суспензія 100 200 R03АC02 Лабораторіо Альдо- Юніон, С.Л., Іспанія UA/8338/01/01 30.05.2018 56,30 76,20 800 2,5988 64,97 11,23
  19. 19. Продовження додатка19 203 Сальбутамол САЛЬБУТАМОЛ аерозоль для інгаляцій, дозований 100 200 R03АC02 ГлаксоВеллком Продакшн, Франція UA/2032/01/01 01.08.2019 61,20 82,84 800 2,5988 64,97 17,87 204 Метопролол ЕГІЛОК® таблетки 25 60 C07AB02 ЗАТ Фармацевтичний завод ЕГІС, Угорщина UA/9635/01/01 21.07.2019 21,84 29,56 150 1,1059 11,06 18,50 205 Метопролол ЕГІЛОК® таблетки 50 60 С07А В02 ЗАТ Фармацевтичний завод ЕГІС, Угорщина UA/9635/01/02 21.07.2019 43,50 58,88 150 1,1059 22,12 36,76 206 Метопролол ЕГІЛОК® таблетки 100 30 С07А В02 ЗАТ Фармацевтичний завод ЕГІС, Угорщина UA/9635/01/03 21.07.2019 43,50 58,88 150 1,1059 22,12 36,76 207 Метопролол ЕГІЛОК® таблетки 100 60 C07AB02 ЗАТ Фармацевтичний завод ЕГІС, Угорщина UA/9635/01/03 21.07.2019 76,99 104,21 150 1,1059 44,23 59,98 208 Метопролол МЕТОПРОЛОЛУ ТАРТРАТ таблетки 100 20 С07А В02 ПАТ "Фармак", Україна UA/6755/01/02 необмежен ий 14,50 19,63 150 1,1059 14,74 4,89 209 Метопролол МЕТОПРОЛОЛУ ТАРТРАТ таблетки 50 20 С07А В02 ПАТ "Фармак", Україна UA/6755/01/01 необмежен ий 9,50 12,86 150 1,1059 7,37 5,49 210 Метопролол МЕТОПРОЛОЛ таблетки 100 30 C07AB02 ПАТ «Київмедпрепарат», Україна UA/2548/01/03 необмежен ий 16,34 22,12 150 1,1059 22,12 0,00 211 Метопролол МЕТОПРОЛОЛ таблетки 50 30 C07AB02 ПАТ «Київмедпрепарат», Україна UA/2548/01/02 необмежен ий 9,31 12,60 150 1,1059 11,06 1,54 212 Симвастатин СИМВАСТАТИН 40 АНАНТА таблетки, вкриті плівковою оболонкою 40 28 C10A A01 Марксанс Фарма Лтд., Індія UA/14019/01/0 3 31.10.2019 85,68 115,97 30 3,1064 115,97 0,00 213 Симвастатин СИМВАСТАТИН 20 АНАНТА таблетки, вкриті плівковою оболонкою 20 28 C10A A01 Марксанс Фарма Лтд., Індія UA/14019/01/0 2 31.10.2019 42,84 57,99 30 3,1064 57,99 0,00 214 Симвастатин КАРДАК таблетки, вкриті плівковою оболонкою 10 30 C10A A01 Ауробіндо Фарма Лімітед (Юніт III), Індія UA/11834/01/0 1 необмежен ий 28,00 37,90 30 3,1064 31,06 6,84 215 Симвастатин КАРДАК таблетки, вкриті плівковою оболонкою 20 30 C10A A01 Ауробіндо Фарма Лімітед (Юніт III), Індія UA/11834/01/0 2 необмежен ий 57,00 77,15 30 3,1064 62,13 15,02 216 Симвастатин КАРДАК таблетки, вкриті плівковою оболонкою 40 30 C10A A01 Ауробіндо Фарма Лімітед (Юніт III), Індія UA/11834/01/0 3 необмежен ий 115,00 155,66 30 3,1064 124,26 31,40 217 Симвастатин АЛЛЕСТА® таблетки, вкриті плівковою оболонкою 10 30 C10A A01 Алкалоїд АД - Скоп'є, Республіка Македонія UA/4290/01/01 04.10.2021 24,82 33,60 30 3,1064 31,06 2,54 218 Симвастатин АЛЛЕСТА® таблетки, вкриті плівковою оболонкою 20 30 C10A A01 Алкалоїд АД - Скоп'є, Республіка Македонія UA/4290/01/02 04.10.2021 45,90 62,13 30 3,1064 62,13 0,00
  20. 20. Продовження додатка20 219 Симвастатин АЛЛЕСТА® таблетки, вкриті плівковою оболонкою 40 30 C10A A01 Алкалоїд АД - Скоп'є, Республіка Македонія UA/4290/01/03 04.10.2021 91,80 124,26 30 3,1064 124,26 0,00 220 Симвастатин ВАЗИЛІП® таблетки, вкриті плівковою оболонкою 20 28 C10A A01 КРКА, д.д., Ново место, Словенія; Марифарм д.о.о., Словенія UA/3792/01/02 03.09.2020 54,66 73,99 30 3,1064 57,99 16,00 221 Симвастатин ВАЗИЛІП® таблетки, вкриті плівковою оболонкою 20 84 C10A A01 КРКА, д.д., Ново место, Словенія; Марифарм д.о.о., Словенія UA/3792/01/02 03.09.2020 163,98 221,96 30 3,1064 173,96 48,00 222 Симвастатин ВАЗИЛІП® таблетки, вкриті плівковою оболонкою 40 84 C10A A01 КРКА, д.д., Ново место, Словенія UA/3792/01/04 23.08.2018 327,96 443,91 30 3,1064 347,92 95,99 223 Симвастат ин ВАЗИЛІП® таблетки, вкриті плівковою оболонкою 40 28 C10A A01 КРКА, д.д., Ново место, Словенія UA/3792/01/04 23.08.2018 109,32 147,97 30 3,1064 115,97 32,00 224 Симвастат ин ВАЗОСТАТ- ЗДОРОВ'Я таблетки, вкриті плівковою оболонкою 10 30 C10A A01 Товариство з обме- женою відповідальністю "Фармацевтична компанія "Здоров'я" , Україна Товариство з обмеже- ною відповідальністю "ФАРМЕКС ГРУП" , Україна UA/3579/01/01 03.03.2020 36,11 48,88 30 3,1064 31,06 17,82 225 Симвастат ин ВАЗОСТАТ- ЗДОРОВ'Я таблетки, вкриті плівковою оболонкою 20 30 C10A A01 Товариство з обмеже- ною відповідальністю "Фармацевтична компанія "Здоров'я" , Україна. Товариство з обмеже-ною відповідальністю "ФАРМЕКС ГРУП" , Україна UA/3579/01/02 03.03.2020 67,81 91,78 30 3,1064 62,13 29,65 226 Глібенкламід ГЛІБЕНКЛАМІД таблетки 5 30 А10ВВ01 ПрАТ "Технолог", Україна UA/2820/01/01 03.03.2020 7,50 10,15 10 0,6768 10,15 0,00 227 Глібенкламід ГЛІБЕНКЛАМІД таблетки 5 100 А10ВВ01 ПАТ "Фармак", Україна UA/6631/01/01 необмежен ий 25,00 33,84 10 0,6768 33,84 0,00 228 Глібенкламід ГЛІБЕНКЛАМІД- ЗДОРОВ'Я таблетки 5 50 А10ВВ01 ТОВ "Фармацевтична компанія "Здоров'я", Україна UA/4647/01/01 26.10.2020 12,50 16,92 10 0,6768 16,92 0,00 229 Лозартан ТРОСАН таблетки, вкриті плівковою оболонкою 50 30 C09CA01 Ауробіндо Фарма Лімітед (Юніт III), Індія UA/11737/01/0 2 15.09.2021 55,00 74,45 50 1,2182 36,55 37,90 230 Лозартан ТРОСАН таблетки, вкриті плівковою оболонкою 100 30 C09CA01 Ауробіндо Фарма Лімітед (Юніт III), Індія UA/11737/01/0 3 15.09.2021 60,00 81,21 50 1,2182 73,09 8,12
  21. 21. Продовження додатка21 231 Лозартан ЛОТАР® таблетки, вкриті плівковою оболонкою 50 30 C09CA01 Алкалоїд АД - Скоп'є, Республіка Македонія UA/11210/01/0 1 17.02.2021 64,60 87,44 50 1,2182 36,55 50,89 232 Лозартан ЛОТАР® таблетки, вкриті плівковою оболонкою 100 30 C09CA01 Алкалоїд АД - Скоп'є, Республіка Македонія UA/11210/01/0 2 17.02.2021 91,12 123,34 50 1,2182 73,09 50,25 233 Лозартан АНГІЗАР таблетки, вкриті плівковою оболонкою 50 30 C09CA01 Мікро Лабс Лімітед, Індія UA/3252/01/02 09.02.2021 54,00 73,09 50 1,2182 36,55 36,54 234 Лозартан ПРЕСАРТАН ®-50 таблетки, вкриті плівковою оболонкою 50 30 C09CA01 Іпка Лабораторіз Лімітед, Індія UA/8575/01/02 03.07.2019 59,01 79,87 50 1,2182 36,55 43,32 235 Лозартан ПРЕСАРТАН ®-100 таблетки, вкриті плівковою оболонкою 100 30 C09CA01 Іпка Лабораторіз Лімітед, Індія UA/8575/01/03 06.03.2020 64,41 87,18 50 1,2182 73,09 14,09 236 Лозартан КЛОСАРТ® таблетки, вкриті плівковою оболонкою 50 84 C09CA01 ТОВ "КУСУМ ФАРМ", Україна UA/8765/01/02 16.08.2018 124,00 167,84 50 1,2182 102,33 65,51 237 Лозартан КЛОСАРТ® таблетки, вкриті плівковою оболонкою 50 28 C09CA01 ТОВ "КУСУМ ФАРМ", Україна UA/8765/01/02 16.08.2018 42,90 58,07 50 1,2182 34,11 23,96 238 Лозартан КЛОСАРТ® таблетки, вкриті плівковою оболонкою 100 30 C09CA01 ТОВ "КУСУМ ФАРМ", Україна UA/8765/01/03 16.08.2018 58,00 78,51 50 1,2182 73,09 5,42 239 Лозартан КЛОСАРТ® таблетки, вкриті плівковою оболонко ю 100 100 C09CA01 ТОВ "КУСУМ ФАРМ", Україна UA/8765/01/03 16.08.2018 180,00 243,64 50 1,2182 243,64 0,00 Начальник Управління фармацевтичної діяльності та якості фармацевтичної продукції Т.М. Лясковський

×