Advertisement
Advertisement

More Related Content

Slideshows for you(20)

Similar to Modelos de crecimiento y fenología de cultivos aplicados al manejo integrado de enfermedades. (20)

Advertisement

More from CIAT(20)

Advertisement

Modelos de crecimiento y fenología de cultivos aplicados al manejo integrado de enfermedades.

  1. Modelos de crecimiento y fenología de cultivos aplicados al manejo integrado de enfermedades. Patricio Sandaña G. INIA-Remehue www.inia.cl
  2. TEMARIO Usos de modelos en: Análisis de rendimiento, Efectos del cambio climático Interacción con enfermedades (Ej: Tizón tardío)
  3. 70 60 50 40 30 20 10 0 Trigo Avena Arroz Poroto 1,200 1,000 800 600 400 200 0 5 10 15 20 25 30 35 0 Remolacha Papa 0 5 10 15 20 25 30 35 Años desde 1979 Rendimiento (qqm ha-1) Rendimientos de cultivos desde el año 1979 (ODEPA, 2014) ¿Cuál es el potencial de rendimiento de estos cultivos en distintas zonas del país?
  4. Brechas de Rendimiento POTENCIAL *CO2 *Radiación *Temperatura *Genotipo Factores definitorios *Malezas *Enfermedades *Plagas (T ha-1) ALCANZABLE *Agua *Nutrientes Nitrógeno Fósforo Medidas de Aumento Rendimiento Factores limitantes ACTUAL Medidas de Protección de Rendimiento Factores reductores BRECHA RENDIMIENTO Nivel de Producción de un Cultivo
  5. INPUT OUPUT (Kooman and Haverkort, 1994) Temp max (°C) Temp min (°C) Daily radiation (MJ/m2) Precipitation (mm/month) Open pan evap (mm/month) Jan 28.5 11.4 26.2 0.1 222 Feb 27.4 10.6 23.3 1.6 163 March 25.9 9.4 19.3 4.3 141 April 21.5 7.9 11.9 32.6 74 May 17.3 5.2 8.1 63.0 39 June 15.5 4.4 6.8 77.7 27 July 13.6 2.2 8.9 64.3 27 Aug 16.2 3.0 10.1 38.3 46 Sep 18.4 5.7 14.2 27.9 72 Oct 21.0 6.8 17.6 7.0 118 Nov 24.2 8.8 24.6 2.8 164 Dec 26.8 10.7 25.4 8.6 205 Month of planting (1-12) 10 Day of month of planting (1-31) 1 Planting depth (mm) 150 Month of harvest 3 Day of harvest 16 Sprout growth rate (mm/degree day) 0.7 Degree days emergence - 100% crop cover 650 LUE (all radiation) (g/MJ light intercepted) 1.25 Harvest index (%) 75 DM concentration tubers (%) 20 Rooting depth (m) 0.5 Texture (%clay and silt) 10 Min temp photosynthesis (Tmax) 8 Min temp optimal photosynthesis (Tmax) 20 Max temp optimal photosynthesis (Tmax) 25 Max temp photosynthesis (Tmax) 33 Growing period (days) 166 Days between planting and emergence 15 Days between emergence and 100% ground cover 41 Days between 100% ground cover and harvest 110 DM tuber yield (ton DM/ha) 22.4 Fresh tuber yield (ton/ha) 112.1 Soil field capacity (mm water / m soil) 110 Irrigation point (mm water / m soil) 50 Precipitation between planting and harvest 24 ETP between planting and harvest 791 Accumulated precipitation deficit (mm) 773 Soil water reserve (mm) 30 Irrigation need (mm) 743 Irrigation need per ton fresh potato (mm) 6.62 DATOS CLIMATICOS
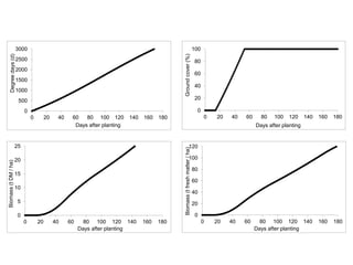
  6. 100 80 60 40 20 0 0 20 40 60 80 100 120 140 160 180 Ground cover (%) Days after planting 3000 2500 2000 1500 1000 500 25 20 15 10 5 0 0 20 40 60 80 100 120 140 160 180 Biomass (t DM / ha) Days after planting 120 100 80 60 40 20 0 0 20 40 60 80 100 120 140 160 180 Biomass (t fresh matter / ha) Days after planting 0 0 20 40 60 80 100 120 140 160 180 Degree days (d) Days after planting
  7. Haverkort et al (2014), Potato Research INIA
  8. brecha 62% Chiloé Coyhaique Pta. Arenas Rendimientos actuales (t/ha) 140 120 100 80 60 40 20 0 E E* L* E L E L E L E* E L E* L* E S* E* E E E Putre La Serena La Ligua Las Cabras Chillán Temuco Pto. Montt ENCUESTAS A PRODUCTORES 140 120 100 80 60 40 20 0 E E* L* E L E L E L E* E L E* L* E S* E* E E E Rendimientos simulados (t/ha) - Calidad de semilla - Época de plantación - Control de enfermedades - Fertilización - Riego SIMULACIÓN Chiloé Coyhaique Pta. Arenas Putre La Serena Chillán Temuco Pto. Montt La Ligua Las Cabras
  9. CooL Farm Tool (Haverkort and Hillier, 2011)
  10. Simulación del cambio climático en el rendimiento de los cultivos
  11. El impacto del CC varia significativamente dependiendo de la elección del GCM. Por lo tanto, es recomendable utilizar la mayor cantidad posible de GCMs para hacer evaluaciones del impacto climático.
  12. Hawkins and Sutton (2009), Am. Meteorol. Soc.
  13. 6 modelos climáticos (GCMs) generaron datos diarios de: - T° Max y T° Min - Radiación Solar - Precipitación - humedad relativa Max y Min - velocidad del viento Se calculó la ETo
  14. Ejemplo: Valores máximos, promedios y mínimos de temperatura de los 6 modelos climáticos para 4 ambientes productivos
  15. Generación de rendimientos esperados según cambios en variables climáticas
  16. CALIBRACIÓN AQUACROP CON KARU-INIA 17500 15000 12500 10000 7500 5000 2500 0 MS observada MS simulada 0 50 100 150 200 MS total (kg/ha) Días desde la plantación (TEMPORADA 2012-13) 20000 15000 10000 5000 0 0 5000 10000 15000 20000 MS observada (kg/ha) MS simulada (kg/ha)
  17. http://dssat.net/workshops/dssat-2014 Costo: US$1500 Próximo: 18-23 Mayo 2015
  18. Efectos del cambio climático en la interacción cultivo-enfermedades
  19. Madgwick et al. 2011; Eur. J. Plant Pathol.
  20. L. Base 2020LO 2020HI 2050LO 2050HI L. Base 2020LO 2020HI 2050LO 2050HI
  21. Modelos de simulación de crecimiento (calibrados y validados) Datos Climáticos Actuales Datos climáticos Futuros Datos históricos según zona geográfica Modelos (GCMs) Rendimientos línea base Rendimientos escenarios futuros ¿Cuántos modelos? ¿Cómo se trabajan los datos? ¿Qué modelo? ¿Cuántos años?
  22. Modelos de simulación de crecimiento (calibrados y validados) Modelo de predicción de tizón tardío Datos Climáticos Actuales Datos climáticos Futuros Datos históricos según zona geográfica Modelos (GCMs) Incidencia y severidad línea base Incidencia y severidad escenarios futuros Rendimientos línea base Rendimientos escenarios Rendimiento futuros castigado por enfermedad (% reducción) actual Rendimiento castigado por enfermedad (% reducción) futuro
  23. Fracción radiación interceptada en Puyehue-INIA en 3 densidades de plantación y 2 fechas de plantación 100 75 50 25 0 0 40 80 120 160 Fracción de radiación interceptada (%) Días después de plantación
  24. Fracción radiación interceptada en Puyehue-INIA en 3 densidades de plantación y 2 fechas de plantación Fracción de radiación interceptada 140 120 100 80 (%) FLORACIÓN y = -1E-09x4 + 2E-06x3 - 0.0016x2 + 0.6993x - 23 R² = 0.85 Tiempo térmico desde emergencia (TB=7°C) 60 40 20 0 Madurez 0 200 400 600 800 1000
  25. Muchas gracias por su atención!
Advertisement