Successfully reported this slideshow.
We use your LinkedIn profile and activity data to personalize ads and to show you more relevant ads. You can change your ad preferences anytime.
Relatividade Restrita
Introdução As grandezas comprimento, tempo e massa, entretanto,  sempre foram tratadas como absolutas, isto é,  independe...
 O motivo da nossa perplexidade diante do caráter relativo  do comprimento, do tempo e da massa é estarmos  habituados a ...
Albert Einstein (1879-1955)              Albert Einstein, físico alemão              naturalizado americano. Premiado     ...
PostuladosEssa teoria fundamentou-se em dois postulados. • Princípio da relatividade: As leis da Física são as  mesmas, e...
Se ligue!!! Note que o segundo postulado contraria radicalmente a maneira   newtoniana de compor velocidades. Para confir...
Conseqüências da Relatividade de Einstein  Dilatação do tempo  Contração do espaço
Dilatação do Tempo
R: referencial em repouso em relação ao local onde ocorreramos eventos. Para esse referencial, o intervalo de tempo entre...
Do ponto de vista do referencial R         ∆sComo v =    , temos :         ∆t   2d           2dc = / ⇒ ∆t = /   ∆t        ...
Do ponto de vista do referencial R
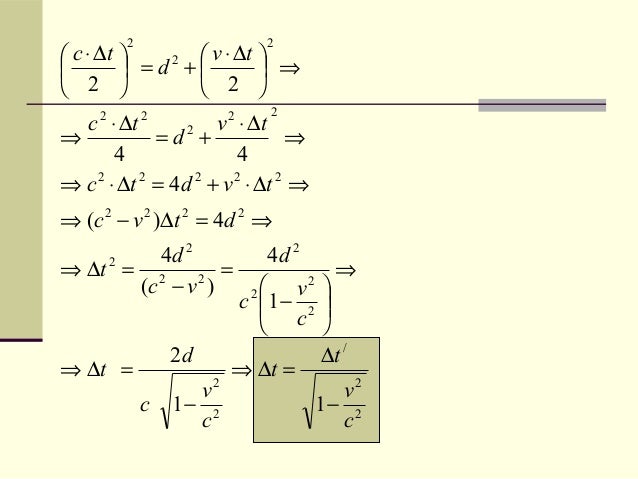
2                       2 c ⋅ ∆t        v ⋅ ∆t           = d +         ⇒              2 2             2       ...
c            c   c                 ctempo                tempo maiormenor    ∆t   /               ∆t
∆t /∆t =                                          Fator de Lorentz               2         v       1− 2                   ...
Paradoxo do Gêmeos         Consideremos uma experiência controlada que envolva doisgêmeos de 20 anos, Eliandro e Leandro. ...
Um dos fatos que confirmam a Teoria da Relatividade RestritaRaios cósmicos incidentes nas altas camadas da atmosfera produ...
Como a altitude da região em que são produzidas é muito maior que660 m, essas partículas não deveriam chegar à superfície ...
∆t /           2,2 ⋅10 −6∆t =               =                    ⇒ ∆t ≅ 35µs               2                    2         ...
Exemplo 01Um foguete parte da Terra com velocidade v= 0,8c, em relação à Terra,transportando um astronauta. Em relação ao ...
Contração do Espaço        Se um observador mede o comprimento de um objeto que estáem movimento relativamente a ele, o va...
 R: referencial em repouso em relação ao corpo cujocomprimento será medido (no caso, o corpo é o túnel). Para essereferen...
Do ponto de vista do referencial R   lv=    ⇒ l = v ⋅ ∆t   ∆t
Do ponto de vista do referencial R’   l                                 ∆t /v=      ⇒ l  = v ⋅ ∆t . Como ∆t =             ...
Se o corpo em estudo estivesse dentro do vagão e fixadonele, o referencial R, em repouso em relação ao corpo,estaria no va...
A contração do comprimento só ocorre na direção do movimentoe é um efeito provocado pela não-simultaneidade na determinaçã...
Exemplo 02Considere uma barra em repouso em relação a um sistema de referência R’.Este se movimenta em relação ao sistema ...
L/ = 1,0mv = 0,8c   L/    v2  /             (0,8c) 2   L = =  1− 2  ⋅ L ⇒ L =  1−             ⋅1   γ    c     ...
Exemplo 03 Uma nave espacial tem o comprimento de 100m, medidos por um observador em repouso em relação à nave. Se a nave ...
Composição de velocidadesu  → velocidade do objeto P em relação ao vagãov → velocidade do vagãou → velocidade do objeto P ...
Exemplo 04Uma nave move-se com velocidade 0,80 c em relação ao solo quandolança um projétil com velocidade 0,60 c em relaç...
Massa e EnergiaPara que o princípio da conservação da quantidade de movimentocontinuasse válido no domínio de colisões int...
Massa é uma forma de EnergiaE = m ⋅ c → Energia Total        2E0 = m0 ⋅ c → Energia de repouso            2Energia Cinétic...
Quantidade de MovimentoQ = m⋅v              m0Como : m =          , temos :               v2             1− 2             ...
Upcoming SlideShare
Loading in …5
×

Fisica moderna relatividade restrita

11,855 views

Published on

  • Be the first to comment

Fisica moderna relatividade restrita

  1. 1. Relatividade Restrita
  2. 2. Introdução As grandezas comprimento, tempo e massa, entretanto, sempre foram tratadas como absolutas, isto é, independentes do referencial em que são medidas. Se alguém afirmar que o comprimento de uma ponte, o tempo de duração de uma aula e a massa de uma pessoa dependem do referencial, você certamente achará absurdas essas afirmações. Entretanto, como veremos nesta breve exposição, comprimento, massa e tempo, grandezas consideradas absolutas na Mecânica clássica, também são grandezas relativas! A relatividade dessas grandezas, porém, só fica evidenciada quando estudamos situações em que as velocidades são muito altas, isto é, não-desprezíveis em comparação com a velocidade da luz no vácuo, que é de 300000 km/s, aproximadamente.
  3. 3.  O motivo da nossa perplexidade diante do caráter relativo do comprimento, do tempo e da massa é estarmos habituados a situações em que as velocidades são insignificantes em comparação com a da luz. Mesmo a velocidade de 2000 km/h de um avião supersônico e a velocidade de 30 km/s da Terra em seu movimento de translação ao redor do Sol são desprezíveis em comparação com 300000 km/s.
  4. 4. Albert Einstein (1879-1955) Albert Einstein, físico alemão naturalizado americano. Premiado com o Nobel de Física em 1921, é famoso por ser autor das teorias especial e geral da relatividade e por suas idéias sobre a natureza corpuscular da luz. É provavelmente o físico mais conhecido do século XX.
  5. 5. PostuladosEssa teoria fundamentou-se em dois postulados. • Princípio da relatividade: As leis da Física são as mesmas, expressas por equações que têm a mesma forma, em qualquer referencial inercial. Não existe um referencial inercial privilegiado. • Princípio da constância da velocidade da luz: a velocidade da luz no vácuo vale c = 300.000 km/s em todos os referenciais inerciais, independentemente do movimento da fonte em relação ao observador.
  6. 6. Se ligue!!! Note que o segundo postulado contraria radicalmente a maneira newtoniana de compor velocidades. Para confirmar isso, considere uma nave em repouso em relação às estrelas e recebendo a luz emitida por uma lanterna, como ilustra a figura a seguir. Imagine, agora, que a nave entre em movimento retilíneo e uniforme para a direita, a 100000 km/s. Se a composição de velocidades da Mecânica clássica continuasse valendo, a velocidade da luz emitida pela lanterna seria, em relação à nave, de 400000 km/s. Entretanto, por mais absurdo que pareça, essa velocidade continua igual a 300000 km/s!
  7. 7. Conseqüências da Relatividade de Einstein  Dilatação do tempo  Contração do espaço
  8. 8. Dilatação do Tempo
  9. 9. R: referencial em repouso em relação ao local onde ocorreramos eventos. Para esse referencial, o intervalo de tempo entre oseventos será representado por ∆t /R: referencial em movimento em relação ao local ondeocorreram os eventos. Para esse referencial, o intervalo de tempoentre os eventos será representado por ∆t
  10. 10. Do ponto de vista do referencial R ∆sComo v = , temos : ∆t 2d 2dc = / ⇒ ∆t = / ∆t c
  11. 11. Do ponto de vista do referencial R
  12. 12. 2 2 c ⋅ ∆t   v ⋅ ∆t   = d +  ⇒ 2 2   2  2 c ⋅ ∆t 2 2 v ⋅ ∆t 2⇒ =d +2 ⇒ 4 4⇒ c 2 ⋅ ∆t 2 = 4d 2 + v 2 ⋅ ∆t 2 ⇒⇒ (c 2 − v 2 )∆t 2 = 4d 2 ⇒ 4d 2 4d 2⇒ ∆t 2 = 2 2 = ⇒ (c − v ) 2 v  2 c 1 − 2   c    2d ∆t /⇒ ∆t = ⇒ ∆t = 2 v v2 c 1− 2 1− 2 c c
  13. 13. c c c ctempo tempo maiormenor ∆t / ∆t
  14. 14. ∆t /∆t = Fator de Lorentz 2 v 1− 2 1 c γ= v2 1− 2 ∆t = γ ⋅ ∆t / c Note que, para R, o tempo passa mais devagar. Qualquer processo físico, reação química ou processo biológico que ocorre dentro do vagão é mais lento para R do que para R. Incluem-se nesse caso os batimentos cardíacos e a rapidez com que o mecanismo de um relógio opera.
  15. 15. Paradoxo do Gêmeos Consideremos uma experiência controlada que envolva doisgêmeos de 20 anos, Eliandro e Leandro. Eliandro, o gêmeo maisaventureiro, mais mais , etc. empreende uma jornada até umaestrela, a 30 anos-luz da Terra. A sua astronave é capaz de aceleraaté velocidade próxima da velocidade da luz. Depois de chegar àestrela, Eliandro sente muitas saudades, e retorna imediatamente àTerra, com a mesma velocidade elevada. No seu retorno, ficaadmirado pelas muitas mudanças. Antigas cidades expandiram-se,novas apareceram. Leandro, envelheceu cerca de 80 anos eEliandro, porém, envelheceu apenas 10 anos e ainda continuavabonitão. Isso em virtude de os seus processos corporais se teremalentecido durante a viagem no espaço.
  16. 16. Um dos fatos que confirmam a Teoria da Relatividade RestritaRaios cósmicos incidentes nas altas camadas da atmosfera produzempartículas instáveis, denominadas mésons µ (ou múons). Sabe-se quea vida média de um méson µ, medida em um referencial em repousoem relação a ele, é de 2,2 µs, aproximadamente. Após essecurtíssimo intervalo de tempo, o méson µ desintegra-se, dandoorigem a outras partículas (um elétron, um antineutrino do elétron eum neutrino do múon). Muitos múons produzidos na alta atmosferamovem-se a uma velocidade igual a 0,998 c, aproximadamente.Vamos calcular a distância que poderiam percorrer antes de sedesintegrarem: −6 ∆s = v ⋅ t = (0,998 ⋅ 3 ⋅10 ) ⋅ (2,2 ⋅10 ) 8 ∆s ≅ 660m
  17. 17. Como a altitude da região em que são produzidas é muito maior que660 m, essas partículas não deveriam chegar à superfície da Terra.No entanto, chegam em abundância. Note que estamos diante deum problema concreto. Como a velocidade dos mésons é muitoalta, os efeitos relativísticos não podem ser ignorados, e o problemadeve ser resolvido pela Teoria da Relatividade.
  18. 18. ∆t / 2,2 ⋅10 −6∆t = = ⇒ ∆t ≅ 35µs 2 2 v (0,998c) 1− 2 1− c c2Então, em relação a R, o méson, ainda " vivo", é capaz depercorrer uma distância l dada por :l = v ⋅ ∆t = (0,998 ⋅ 3 ⋅108 ) ⋅ (35 ⋅10 −6 ) ⇒ l ≅ 10500mDessa forma, fica explicado por que os mésonsconseguem chegar à superfície da Terra.
  19. 19. Exemplo 01Um foguete parte da Terra com velocidade v= 0,8c, em relação à Terra,transportando um astronauta. Em relação ao foguete, a viagem dura 3 anos.Quanto durou a viagem do astronauta em relação a um observador naTerra? ∆t = ? → ∆t / = 3anos ∆t / 3 ∆t = ⇒ ∆t = v2 (0,8c) 2 1− 2 1− c c2 3 ∆t = ⇒ ∆t = 5anos 0,6
  20. 20. Contração do Espaço Se um observador mede o comprimento de um objeto que estáem movimento relativamente a ele, o valor obtido é diferente daqueleque seria encontrado se a medição fosse feita num referencial onde oobjeto estivesse em repouso, Esse efeito é conseqüência direta dadilatação do tempo. Analisemos uma situação hipotética simples. Isso éo que Einstein chamava de experiência mental.
  21. 21.  R: referencial em repouso em relação ao corpo cujocomprimento será medido (no caso, o corpo é o túnel). Para essereferencial, o comprimento do túnel l. R: referencial móvel em relação ao corpo (túnel) cujocomprimento será medido. Para esse referencial, o comprimentodo túnel l’
  22. 22. Do ponto de vista do referencial R lv= ⇒ l = v ⋅ ∆t ∆t
  23. 23. Do ponto de vista do referencial R’ l ∆t /v= ⇒ l = v ⋅ ∆t . Como ∆t = , ∆t v 2 1− 2 c v2podemos escrever ∆t = ∆t ⋅ 1 − 2 . Então; c v2l = v ⋅ ∆t ⇒ l = v ⋅ ∆t 1 − 2 cTemos : v2l = l 1− 2 c
  24. 24. Se o corpo em estudo estivesse dentro do vagão e fixadonele, o referencial R, em repouso em relação ao corpo,estaria no vagão. O referencial R, por sua vez, em movimentoem relação ao corpo, estaria no solo. Nessa situação,a contração do comprimento do corpo ocorreria para R.O comprimento l que a barra tem em relação a R é menor que ocomprimento l que ela tem em relação a R: l menor que l v2 l = l 1− 2 c
  25. 25. A contração do comprimento só ocorre na direção do movimentoe é um efeito provocado pela não-simultaneidade na determinaçãodas coordenadas das extremidades do objeto medido.
  26. 26. Exemplo 02Considere uma barra em repouso em relação a um sistema de referência R’.Este se movimenta em relação ao sistema de referência R com velocidadev=08c. Seja L=1,0m o comprimento da barra medido no referencial R’.Sabendo-se que a barra está alinhada na direção do movimento, determine ocomprimento da barra em relação ao referencial R.
  27. 27. L/ = 1,0mv = 0,8c L/  v2  /  (0,8c) 2 L = =  1− 2  ⋅ L ⇒ L =  1−  ⋅1 γ  c    c2  L = 0,36 = 0,60m
  28. 28. Exemplo 03 Uma nave espacial tem o comprimento de 100m, medidos por um observador em repouso em relação à nave. Se a nave passar por um observador com velocidade de 0,99c, qual o comprimento que este observador atribuirá à nave? L/ = 100m v = 0,99c L/  v2  /  (0,99c) 2  L = =  1− 2  ⋅ L ⇒ L =  1−  ⋅100 γ  c    c2   L= ( ) 0,02 ⋅100 = 14mSe a nave espacial passar pelo observador em repouso com a velocidade0,01c, qual o comprimento que este observador medirá?
  29. 29. Composição de velocidadesu → velocidade do objeto P em relação ao vagãov → velocidade do vagãou → velocidade do objeto P em relação ao solo (R)Pode - se demonstrar que a velocidade u do objeto P em relaçãoao solo é dada por : u +vu= vu 1+ 2 c
  30. 30. Exemplo 04Uma nave move-se com velocidade 0,80 c em relação ao solo quandolança um projétil com velocidade 0,60 c em relação a ela, comoilustra a figura. u + v 0,60c + 0,80c u= = ⇒ vu 0,80c ⋅ 0,60c 1+ 2 1+ c c2 1,40c ⇒u = ⇒ u = 0,95c 1,48 Imagine que fosse possível termos v = c e u = c; calculem o novo valor de u.
  31. 31. Massa e EnergiaPara que o princípio da conservação da quantidade de movimentocontinuasse válido no domínio de colisões interratômicas (onde a velocidadedas partículas é compatível à velocidade da luz), Einstein reformulou osconceitos de massa e energia. m0 Massa de repouso A massa do corpo é maior quando em movimento do m0 que quando em repouso. m = γ ⋅ m0 ⇒ m = v2 1− 2 O aumento da massa não c significa que aumenta o número de partículas do corpo, e sim a inércia.
  32. 32. Massa é uma forma de EnergiaE = m ⋅ c → Energia Total 2E0 = m0 ⋅ c → Energia de repouso 2Energia CinéticaEC = E − E0EC = m ⋅ c − m0 ⋅ c 2 2
  33. 33. Quantidade de MovimentoQ = m⋅v m0Como : m = , temos : v2 1− 2 c m0Q= ⋅v v2 1− 2 c

×